PHPで作図
このページの末尾へ
図形のコピー
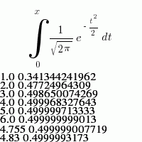
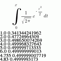
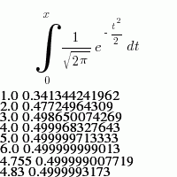
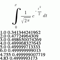
: 正規分布表の計算
ヘルプ
ドット数(幅
高
)形式(
gif
jpg
)
set_scale($scale = 10, $org_x_percent = 50, $org_y_percent = 50); function get_normal_distribution($x, $dx = 0.005) { $step = round($x / $dx); $dx = $x / $step; $v = 0; for($i = 0; $i < $step; ++$i){ $sx = $i * $dx; $ex = ($i + 1) * $dx; $v += ((exp(-1 * $sx * $sx * 0.5) / sqrt(2 * M_PI) + exp(-1 * $ex * $ex * 0.5) / sqrt(2 * M_PI)) * $dx * 0.5); } return $v; } function get_normal_distribution_stop(&$x, $stop = 0.499999, $dx = 0.005) { $step = round(10 / $dx); $v = 0; for($i = 0; $i < $step; ++$i){ $sx = $i * $dx; $ex = ($i + 1) * $dx; $v += ((exp(-1 * $sx * $sx * 0.5) / sqrt(2 * M_PI) + exp(-1 * $ex * $ex * 0.5) / sqrt(2 * M_PI)) * $dx * 0.5); if($v >= $stop){ $x = $ex; break; } } return $v; } $nd1 = "1.0 ".get_normal_distribution(1.0); $nd2 = "2.0 ".get_normal_distribution(2.0); $nd3 = "3.0 ".get_normal_distribution(3.0); $nd4 = "4.0 ".get_normal_distribution(4.0); $nd5 = "5.0 ".get_normal_distribution(5.0); $nd6 = "6.0 ".get_normal_distribution(6.0); draw_text($nd1, $x = -10, $y = 0, $o_pos = O_POS_UP_LEFT, $italic = false); draw_text($nd2, $x = -10, $y = -1.2, $o_pos = O_POS_UP_LEFT, $italic = false); draw_text($nd3, $x = -10, $y = -2.4, $o_pos = O_POS_UP_LEFT, $italic = false); draw_text($nd4, $x = -10, $y = -3.6, $o_pos = O_POS_UP_LEFT, $italic = false); draw_text($nd5, $x = -10, $y = -4.8, $o_pos = O_POS_UP_LEFT, $italic = false); draw_text($nd6, $x = -10, $y = -6.0, $o_pos = O_POS_UP_LEFT, $italic = false); $v = get_normal_distribution_stop($x, 0.499999); $ndx = $x." ".$v; draw_text($ndx, $x = -10, $y = -7.4, $o_pos = O_POS_UP_LEFT, $italic = false); $v = get_normal_distribution_stop($x, 0.4999993); $ndx = $x." ".$v; draw_text($ndx, $x = -10, $y = -8.6, $o_pos = O_POS_UP_LEFT, $italic = false); draw_formula($formula_text = "int{0}{x}{1 / sqrt{2 pi} {e ^ {- {t^2} / 2}} dt}", $size = 12, 0, 0, O_POS_LOW_CENTER);
テンプレートを選択するとプログラムに追加されます。
set_scale(...);
allocate_color('black');
allocate_color('gray');
allocate_color('red');
allocate_color('blue');
allocate_color('green');
allocate_color('purple');
allocate_bgcolor('white');
transparent_bgcolor();
set_thick($thick = 1);
set_dashlen($dashlen = 7);
set_arrow_size(...);
draw_line(...);
draw_horizontal($y);
draw_vertical($x);
draw_dash_line(...);
draw_rect(...);
draw_arrow_head(...);
draw_xaxis(...);
draw_yaxis(...);
draw_xyaxis();
draw_circle(...);
draw_arc_deg(...);
draw_arc(...);
draw_dash_arc(...);
M_PI = 3.1415926535898
M_PI_2 = pi/2
M_PI_4 = pi/4
fill_rect(...);
fill_circle(...);
fill_arc_deg(...);
fill_triangle(...);
fill_quadrangle(...);
fill_polygon();
fill_toborder($x, $y, $border_color_x, $border_color_y);
allocate_text_color('black');
allocate_text_color('gray');
allocate_text_color('red');
allocate_text_color('blue');
allocate_text_color('green');
allocate_text_color('purple');
allocate_text_bgcolor('white');
transparent_text_bgcolor();
set_text_size($text_size);
set_text_margin($text_margin);
set_mark_size($mark_size);
draw_text(...);
O_POS_LOW_LEFT
O_POS_LOW_RIGHT
O_POS_UP_RIGHT
O_POS_UP_LEFT
O_POS_LOW_CENTER
O_POS_MIDDLE_RIGHT
O_POS_UP_CENTER
O_POS_MIDDLE_LEFT
O_POS_MIDDLE_CENTER
get_o_pos_by_ang($ang);
draw_formula(...);
ARC_TYPE_NONE
ARC_TYPE_SOLID
ARC_TYPE_DASH
BEG_TYPE_ARROW
END_TYPE_ARROW
draw_arc_mark(...);
draw_corner_mark(...);
draw_marked_triangle(...);
CMARK_NONE 0
CMARK_1_ARC 1
CMARK_2_ARC 2
CMARK_D_ARC 3
CMARK_1_PIE 4
CMARK_2_PIE 5
CMARK_D_PIE 6
CMARK_SQUARE
CMARK_CROSS
CMARK_CIRCLE
CMARK_DOT
draw_mark(...);
draw_mark_on_line(...);
draw_mark_on_circle(...);
MARK_1_LINE
MARK_2_LINE
MARK_3_LINE
MARK_SQUARE
MARK_CROSS
MARK_CIRCLE
MARK_DOT
set_x_def_range(...);
df1_ax_b($a, $b);
df1_x_y($x, $y);
df1_2p($x1, $y1, $x2, $y2);
df2_ax2_bx_c(...);
df2_ax_p2_q(...);
df2_a_x_al_x_be(...);
df_y_fx($y_fx);
df_xt_yt(...);
unit_vector(...);
calc_angle(...);
normalize_ang($ang);
calc_da(...);
calc_intersec_pt_of_lines(...);
calc_intersec_pt_of_lns(...);
rot90_vec(...);
rot_vec(...);
calc_perpendicular_bisector(...);
calc_distance(...);
calc_circumscribed_circle(...);
calc_didtance_to_line(...);
calc_foot_of_perpendicular_line(...);
calc_parallel_line(...);
calc_foot_of_perpendicular_circle(...);
calc_intersec_pts_of_line_circle(...);
calc_intersec_pts_of_circles(...);
calc_inscribed_circle(...);
calc_2p_arc(...);
calc_3dview(...);
clear_canvas();
set_alphablending($alpha = 50);
set_antialias($antialias = true);
transparent_gif_bgcolor();
xf($x)
x_rev($x)
yf($y)
y_rev($y)
作図プログラムをコンパイルして図形を仮表示する
仮表示
作図プログラムをサーバに保存するには、やる勉にログインしてください。
日付順
名前順
図形の新規作成
ログイン
図形の新規作成
ログイン
このページの先頭へ